Yacimientos de Hidrocarburos: Mecanismos de Empuje y Ecuación del Balance de Materiales

 

Mecanismo de Expansión por Capa de Gas

Algunos yacimientos tienen una capa de gas, la cual provee de energía derivada de la expansión del gas, ayudando a la producción de un pozo; por lo tanto este  mecanismo se conoce como "expansión de capa de gas". Cuando el petróleo esta produciendose, la capa de gas se expande y empuja al crudo hacia abajo y de ahí hacia el pozo productor (Figura 1).
Figure-1---Gas-Cap-Drive
 
Figura 1 – Expansión de Capa de Gas


Para este tipo de mecanismo de empuje, es necesario mantener el gas dentro del yacimiento tanto como sea posible, debido a que es la fuente de energía por excelencia del reservorio. Los pozos que han sido perforardos dentro de un área de alta estructura que contiene una capa de gas, deben ser cercanamente monitoreados porque este pozo tendrá muchas mas posibilidades de producir gas.

Cuando la presión del yacimiento declina, el gas libre saldrá de la solución. Si un pozo tiene una buena permeabilidad vertical y la tasa de producción es bastante baja, el gas libre migrará y se acumulará en una capa de gas existente.  Esta es una fuente de energía adicional que ayuda a la producción y mejora la recuperación final. Sin embargo, si un pozo produce a una tasa elevada, el gas libre se producirá en conjunto con el petróleo , incrmentando el Radio Gas - petróleo (GOR); por lo tanto, el pozo perderá energía de expansión proveniente del gas y la recuperación final no será tan alta como se esperaba. Por otro lado, con una alta tasa de flujo, el gas fluirá rápidamente dentro del petróleo porque tiene mucha menos viscosidad que el éste. Entonces esto crearpa una situación llamada "conificación de gas".

 Para la expansión de capa de gas, la declinación en la tasa de producción y la presión de yacimiento será más baja que en el mecanismo de empuje por gas en solución y la recuperación final de petróleo estará alrededor de  20% – 40%.
Figure-2---Gas-Cap-Drive-Profile
Figura2 – Perfil de Empuje por Capa de Gas


References
DrillingFormulas.Com | - 12:38 pm |   
 
 

Mecanismo de Empuje por Gas En Solución


El empuje por gas en solución es un mecanismo en el cual el gas disuelto en un yacimiento se expande convirtiendose en energía que favorece la Produccion de los fluidos en el yacimiento. Este mecanismo tambien es conocido con otros nombres tales como Empuje por Gas Disuelto o Empuje por Depleción.


Cuando la presión del Yacimiento es mayor que la del punto de burbujeo, no habrá gas lubre presente en un reservorio, lo cual es conocido como "yacimiento sub saturado".  En esta etapa, el empuje proviene  de la expansión del petróleo y  del agua connata y la compactación del espacio poroso del yacimiento. Debido a que la compresibilidad del petróleo y la roca son bajas, solo una pequeña cantidad de fluido puede producirse y generalmente el volumen es alrededor de 1-2% del petróleo en sitio.

Cuando la presión del yacimiento alcanza el Punto de Burbujeo, el petroleo se vuelve saturado y se presenta gas libre en el yacimiento. La expansión del gas es la energia principal para producir los fluidos del yacimientos con empuje de gas en solución. Al principio, el radio de gas - petróleo producido se reducirá lentamente porque el gas libre en el yacimiento no se puede mover a menos que esté por encima de la saturación crítica del gas. Entonces el gas comenzará a luir hacia dentro del pozo. En algunos casos, cuando la permeabilidad vertical es alta, el gas puede migrar hacia arriba y convertirse en una capa de gas secundaria, la cual favorece la producción de petróleo.

Cuando la presión se vuelve mas baja, mas gas se producirá y la producción de petróleo declinará. Esto conducirá a un alto radio de producción gas - petróleo. Esto no es una buena señal porque la presión del yacimiento declina fuertemente con la producción de gas y eventualmebte las fuentes de energía en un yacimiento caerán haciendo que el petróleo no pueda producirse. La Figura 1 nos muestra un perfil general de la presión de yacimiento, producción de petróleo y el Radio Gas Petróleo (GOR) sobre un período de producción.
solution-gas-drive
Figura 1 – Diagrama de Empuje por Gas en Solución

 Es muy importante realizar trabajos de recuperación secundaria como inyección de agua , para mantener la presión del yacimiento por encima del punto de burbuja con el fin de mejorar el factor de recuperación de petróleo. El Factor de recuperación típico del yacimiento con empuje por gas en solución es de aproximadamente de 5 - 30%.


References

Solution Gas Drive Mechanism

 
 
 
 

Mecanismo de Empuje por Agua


Figure 1 - Water Drive Mechanism
Algunos yacimientos tienen comunicación con zonas de agua (acuíferos) por debajo de ellos. Cuando la presión del yacimiento cae debido a la producción, el agua comprimida en el acuífero se expande hacia dentro del yacimiento ayudando a que se mantenga la presión del mismo. Este mecanismo se conoce como "empuje por agua".


El mecanismo de empuje por agua será efectivo si el acuífero que está en contacto con el yacimiento es muy grande porque la compresibilidad del agua es muy baja. Por ejemplo, una estructura anticlinal con una extensa zona de agua tendrá más ventaja para desarrollar un mecanismo de empuje por agua. Al contrario, los yacimientos estratigraficos o altamanete fallados tendrán acuíferoscon volumenes limitados por lo que el empuje de agua será insignificante.

Figura 1 – Mecanismo del Empuje por Agua


Generalmente, las caracteristicas de los yacimientos en los cuales se está influenciado por el mecanismo de empuje por agua son de baja declinación de presión y un muy constante GOR de producción en un período de tiempo. La producción de poco gas  proviene de la solución del radio gas petróleo (Rs) y el radio de producción gas petróleo  (Rp) es igual a Rs.

El agua de un acuifero ubicado por debajo del yacimiento empuja hacia arriba a los pozos productores y eventualmente habrá mayor corte de agua. Cuando el porcentaje de producción de agua es muy alto, la producción se torna no económica, lo cual se conoce en inglés como "water out". Los pozos localizados en estructuras bajas estaán en "water out" antes que aquellos que se ubican en las partes de estructuras altas. Estos pozos son candidatos a convertirse en inyectores de agua para operaciones que requieran inundación de agua en el yacimiento.

El mecanismo de empuje por agua es muy bueno y los yacimientos pueden producir cerca del 50% del factor de recobro en algunos casos.
Figure 2- Water Drive Production Profile
Figura 2- Perfil de producción en yacimientos de empuje por agua.


By DrillingFormulas.Com | - 11:24 pm |

 
 
 
 
 

Ecuación de Balance de Materiales en Ingeniería de Yacimientos


El Balance de Materiales es una forma matemàtica de expresar la conservaciòn de la masa en un yacimiento y su principio clave es simple:  "lo que se produce en el yacimiento debe ser reemplazado por otras masas"


Volumen Producido = Volumen Reemplazado


Volumen Producido proviene de la producciòn de Gas , Petròleo y Agua.

Volumen Reemplazado proviene de la expansiòn del volùmen, agua en flujo e inyecciòn de agua / gas. 


En la Figura 1 se muestra la relación en el valance de materiales.

Figure-1---Concept-of-Material-Balance



Echemos un vistazo a cada componente de la Ecuación:


Volumen Producido

Producciòn de Gas (rb) = Np (Rp – Rs) Bg

Producción de Petróleo (rb) = Np Bo

Producción de Agua (rb) = Wp Bw

Producción Total = Np [Bo + (Rp – Rs) Bg ] + Wp Bw




Volumen en Expansion


Expansion del Petròleo

Consiste en dos partes. La primera es solo la expansiòn del petróleo y la segunda es la expansión del gas en solución que ocurre cuando la presión del yacimiento está por debajo del punto de burbujeo. 


Expansión del Petróleo (rb) = N (Bo – Boi)

Expansión del Gas en Solución (rb) = N (Rsi – Rs) Bg

Total Expansión de Petróleo (rb) = N [ (Bo – Boi) + (Rsi – Rs) Bg ]


Expansión de la Roca y Agua Connata- 

Expansión de la Roca (rb) = Vp ×Cf ×ΔP

Expansión del Agua Connata (rb) = Vp ×Swc× Cw ×ΔP

Expansión Total de la Roca y del Agua Connata (rb) = Vp ×(Cf + Swc× Cw)× ΔP

Volumen de Poro (Vp) = [ N× (1 + m) ×Boi ]÷ (1 – Swc)


total rock and connate water expansion



Expansión Inicial de la Capa de Gas

Volumen Inicial de la Capa de Gas (rb) = m ×N ×Boi

Volumen Actual de la Capa de Gas (rb) = m ×N ×Boi ×(Bg ÷ Bgi)

Expansión de la Capa de Gas (rb) = Volumen ActualVolumen Inicial

Expansión de la Capa de Gas (rb) = m ×N ×Boi ×[(Bg ÷ Bgi)-1]



Término de Expansión

Término de Expansión del Petróleo (Eo)

Eo = (Bo – Boi) + (Rsi – Rs) ×Bg


Término de Expansión
de la Roca y Agua Connata (Ef,w)

efw


Término de Expansión de la Capa de Gas (Eg)

Eg = Boi ×[(Bg ÷ Bgi)-1]


Con todos los términos de Expansión, la totalidad de ésta puede ser expresada matemáticamente como :

Expansión Total (rb) = N (Eo + Efw + m Eg)



Influjo de Acuífero e Inyección

Volumen de Influjo del Acuíffero (rb) = We

Volúmen de Inyección de Agua (rb) = Wi×Bw

Volumen de Inyección de Gas (rb) = Gi×Bg



Todas estas relaciones pueden colocarse en la Ecuación del Balance de Materiales basados en el siguiente concepto: 

Figure-1---Concept-of-Material-Balance




material balance equation


La Ecuación de arriba se puede simplificar usando un término de expasión.

simplified-material-balance-equation-explained

Arreglamos la ecuación de arriba de la siguiente manera

simplified-material-balance-equation-REARRANGE

Simplificamos los términos de esta forma:

simplified-material-balance-equation-REARRANGE2

F = N×Et + We


Donde;

F = Producción de Fluido Neta (Volumen Producido – Volumen Inyección)

N = Petróleo en sitio

Et = Término de expansión total (petróleo, agua, capa de gas y roca )

We = Influjo de agua.

Esta simple ecuación fue presentada por Havlena + Odeh (1963). Con esta ecuación se puede realizar un ploteo gráfico logrando un balance de materiales mas fácil y preciso.



#1 forma:


Havlen Odeh 1

La gráfica puede dibujarse basada en la forma #1 . La línea debería ser horizontal y una intersección en el eje y representará a N (petróleo en sitio). La desviación con respecto a la línea horizontal indica energía adicional o perdida.   (Figura 2).


Figure-2-–-Graphic-of-Simplified-Material-Balance-Form#1
Figura 2 – Gráfico  de Balance de Materiales Simplificado  Forma #1


#2 forma:


Esta sería la forma de una ecuación de balance de materiales simplificada. 

Havlen Odeh 2
La pendiente de la curva es 1 y la intersección con el eje y es N. La desviación respecto la linea recta indica energía extra entrante o saliente  (Figura 3).
Figure 3 - Graphic of Simplified Material Balance Form#2
Figura 3 – Gráfico  de Balance de Materiales Simplificado  Forma #2



Nomenclaturas

N = Petróleo inicial en sitio (STOIIP) en el yacimiento (stb)
Np = Producción de petróleo acumulada (stb)
Boi = Factor de volumen de petroleo a la presión inicial de yacimiento (rb/stb)
Bo = Factor de volumen de petroleo la presión actual del yacimiento (rb/stb)
Rsi = GOR a la presión inicial de yacimiento (scf/stb)
Rs = GOR a la presión actual del yacimiento (scf/stb)
Rp = Radio Gas - Petroleo producido acumulada (scf/stb)
G = Volumen de gas inicialmente en sitio (GIIP) en el yacimiento (scf)
m = Radio de volumen de capa de gas inicial vs volumen inicial de petroleo (rb/rb)
Bgi = Factor de volumen de gas a la presion inicial del yacimiento  (rb/scf)
Bg = Factor de volumen de gas la presión actual del yacimiento (rb/scf)
Swc = saturación del agua connata (fracción o  %)
Cw = compresibilidad del agua (1/psi)
Cf = compresibilidad de la formación (roca) (1/psi)
Wp = producción de agua acumulada (stb)
We=  producción de influjo de agua acumulada del acuifero (rb)
Bw = Factor de Volumen de agua a la presion inicial del yacimiento  (rb/stb)
Wi = Inyección de agua acumulada (stb)
Gi = Inyección de gas acumulada (scf)
Gp = Producción de gas acumulada (scf)
Eg = Término de expansión de gas (rb/stb)
Eo = Término de expansión de petróleo (rb/stb)
Efw = Término de expansión de la formación y agua connata (rb/stb)

http://www.drillingformulas.com/material-balance-equation-in-reservoir-engineering/


  By DrillingFormulas.Com | - 2:23 pm |  
 
 

Ecuación del Balance de Materiales para Yacimientos con Empuje por Gas en Soluciòn

La Ecuación de Balance de Materiales puede aplicarse para todo tipo de mecanismo de empuje : Para los yacimientos por empuje de gas en soluciòn existen dos casos. El primero es cuando la presiòn del yacimiento està por encima del punto de burbujeo, y el segundo caso es cuando dicha presiòn se encuentra debajo del punto de burbujeo.




Gas en Soluciòn por encima del Punto de Burbujeo
Iniciamos con la ecuaciòn completa del balance de materiales
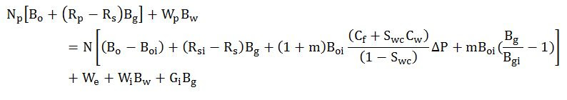
Figure 1 - Full Material Balance Equation

Se asume que
  • No hay producciòn de agua
  • No hay inyecciòn de agua
  • No hay inyecciòn de gas
  • No hay capa de gas
  • No hay influjo de agua
De hecho
Rs = Rsi

Se cancelan los paràmetros que coincidan con las suposiciones de gas en soluciòn.
Figure 2 - Cancel out some parameters


La ecuaciòn del Balance de materiales queda de la siguiente manera:
material balance after cacel out

La compresibilidad del petròleo se obtiene de la siguiente ecuaciòn:
Co = (Bo – Boi) ÷ (Boi ×ΔP)
material balance after cacel out 2


Gas en Soluciòn por debajo del Punto de Burbujeo

Se asume que
  • No hay producciòn de agua
  • No hay inyecciòn de agua
  • No hay inyecciòn de gas
  • No hay capa de gas
  • No hay influjo de agua
Se cancelan los paràmetros que coincidan con las suposiciones de gas en soluciòn.
Figure-3---Cancel-some-parameters



La ecuaciòn del Balance de materiales queda de la siguiente manera:
material balance after cacel out 3 below bp

Se puede simplificar la ecuaciòn (Havlena + Odeh (1963)) en esta forma:
F = N (Eo + Efw)

Donde;
F= Producciòn neta de fluido
N = Petròleo en sitio

Eo Efw

Para esta forma, un mètodo gràfico se puede usar para verificar el petròleo en sitio (N) , lo que se muestra en la siguiente figura:
Figure 4 - Graphical plot for a solution gas drive


Si el ploteo nos muestra una linea recta, la pendiente serìa el petròleo en sitio. De otra forma, si la pendiente no es una lìnea recta, ello indica que el petròleo en sitio es tanto muy poco o abundante..


Nomenclaturas
N = Petróleo inicial en sitio (STOIIP) en el yacimiento (stb)
Np = Producción de petróleo acumulada (stb)
Boi = Factor de volumen de petroleo a la presión inicial de yacimiento (rb/stb)
Bo = Factor de volumen de petroleo a  la presión actual del yacimiento (rb/stb)
Rsi = GOR a la presión inicial de yacimiento (scf/stb)
Rs = GOR a la presión actual del yacimiento (scf/stb)
Rp = Radio Gas - Petroleo producido acumulada (scf/stb)
G = Volumen de gas inicialmente en sitio (GIIP) en el yacimiento (scf)
m = Radio de volumen de capa de gas inicial vs volumen inicial de petroleo (rb/rb)
Bgi = Factor de volumen de gas a la presion inicial del yacimiento  (rb/scf)
Bg = Factor de volumen de gas a  la presión actual del yacimiento (rb/scf)
Swc = saturación del agua connata (fracción o  %)
Cw = compresibilidad del agua (1/psi)
Cf = compresibilidad de la formación (roca) (1/psi)
Wp = producción de agua acumulada (stb)
We=  producción de influjo de agua acumulada del acuifero (rb)
Bw = Factor de Volumen de agua a la presion inicial del yacimiento  (rb/stb)
Wi = Inyección de agua acumulada (stb)
Gi = Inyección de gas acumulada (scf)
Gp = Producción de gas acumulada (scf)
Eg = Término de expansión de gas (rb/stb)
Eo = Término de expansión de petróleo (rb/stb)
Efw = Término de expansión de la formación y agua connata (rb/stb)


TRADUCIDO DESDE

Solution Gas Drive Mechanism Explained in Material Balance Equation

 
 
 
 

Ecuación del Balance de Materiales para Mecanismo de Empuje por Capa de Gas

En éste artículo se demostrará la forma de la ecuación de balance de materiales para mecanismos de empuje por capa de gas. Empezamos primeramente con la ecuación completa del balance de materiales:
Figure 1 - Full Material Balance Equation


Asumimos que:
  • No hay producción de agua
  • No hay inyección de agua
  • No hay inyección degas
  • No hay influjo de agua
  • Formación Neglect y compresibilidad de agua connata (Cf y Cw tienen poco efecto en un mecanismo de empuje por capa de gas)

Figure 2 - Material Balance Equation with Assumption for a Gas Cap Drive Mechanism


La ecuación mostrada en la figura 2 nos queda de la siguiente forma si la simplificamos:
simplifield equation for gas cap
Para Capas de Gas, la producción de hidrocarburos es igual a Petróleo + Expansión del Gas Disuelto + Expansión de la Capa de Gas. Lo cual puede describirse en esta simple ecuación (Havlena + Odeh (1963)) like this:

F = N (Eo + m Eg)

Donde;
F = Producción neta de fluido
N = Petróleo en sitio
Eo = factor de expansión del petróleo
m = volumen inicial de la capa de gas / volumen inicial de petróleo (rb/rb)
Eg = Factor de expansión del gas

Si ploteamos los valores F vs (Eo+mEg) , obtenemos:
Figure 3 – Graphic Solution for Gas Cap Drive Mechanism


Si el gráfico nos muestra una linea recta, entonces l volumen de capa de gas es correcto. Cualquier desviación con respecto a la linea recta indicaría tanto un pequeño como gran tamaño de capa de gas.

Nomenclaturas

N = Petróleo inicial en sitio (STOIIP) en el yacimiento (stb)
Np = Producción de petróleo acumulada (stb)
Boi = Factor de volumen de petroleo a la presión inicial de yacimiento (rb/stb)
Bo = Factor de volumen de petroleo la presión actual del yacimiento (rb/stb)
Rsi = GOR a la presión inicial de yacimiento (scf/stb)
Rs = GOR a la presión actual del yacimiento (scf/stb)
Rp = Radio Gas - Petroleo producido acumulada (scf/stb)
G = Volumen de gas inicialmente en sitio (GIIP) en el yacimiento (scf)
m = Radio de volumen de capa de gas inicial vs volumen inicial de petroleo (rb/rb)
Bgi = Factor de volumen de gas a la presion inicial del yacimiento  (rb/scf)
Bg = Factor de volumen de gas la presión actual del yacimiento (rb/scf)
Swc = saturación del agua connata (fracción o  %)
Cw = compresibilidad del agua (1/psi)
Cf = compresibilidad de la formación (roca) (1/psi)
Wp = producción de agua acumulada (stb)
We=  producción de influjo de agua acumulada del acuifero (rb)
Bw = Factor de Volumen de agua a la presion inicial del yacimiento  (rb/stb)
Wi = Inyección de agua acumulada (stb)
Gi = Inyección de gas acumulada (scf)
Gp = Producción de gas acumulada (scf)
Eg = Término de expansión de gas (rb/stb)
Eo = Término de expansión de petróleo (rb/stb)
Efw = Término de expansión de la formación y agua connata (rb/stb)

References

Material Balance for Gas Cap Drive Mechanism

 
 
 
 

Ecuación de Balance de Materiales para Empuje por Agua

En esta oportunidad hablaremos de la Ecuación d Balance de Materiales para yacimientos cuyo mecanismo de producción es por empuje de agua. natural. Por lo que primeramente mostraremos la ecuación completa del balance:
Figure 1 - Full Material Balance Equation

Asumimos que
  • La presión del yacimiento está por encima del punto de burbujeo (Pb), en donde Rs = Rsi.
  • No hay inyección de agua
  • No hay inyección de gas
  • No hay capa de gas
  • Cf y Cw sin efecto en este tipo de mecanismo 
Quedandonos de esta forma la ecuación:
Figure 2 - Material Balance Equation with Assumption for a Natural Water Drive Mechanism



Ello podemos describirlo en una ecuación más simple (Havlena + Odeh (1963)):

F = N Eo + We

F/Eo = N + We/Eo

Donde;
F = Producción neta de petróleo
N = Petróleo en sitio
Eo = Factor de expansión del petróleo
We = Influjo de agua

Si se gráfica los valores de F/Eo vs (We/Eo).
Figure-3---Graphic-Solution-for-Natural-Water-Drive-Mechanism


El punto de intercepción en el eje Y es el petróleo en sitio (N). Si el grafico no muestra una línea recta, significa que el acuífero puede ser o muy pequeño o muy grande (ver figura)


Nomenclaturas

N = Petróleo inicial en sitio (STOIIP) en el yacimiento (stb)
Np = Producción de petróleo acumulada (stb)
Boi = Factor de volumen de petroleo a la presión inicial de yacimiento (rb/stb)
Bo = Factor de volumen de petroleo la presión actual del yacimiento (rb/stb)
Rsi = GOR a la presión inicial de yacimiento (scf/stb)
Rs = GOR a la presión actual del yacimiento (scf/stb)
Rp = Radio Gas - Petroleo producido acumulada (scf/stb)
G = Volumen de gas inicialmente en sitio (GIIP) en el yacimiento (scf)
m = Radio de volumen de capa de gas inicial vs volumen inicial de petroleo (rb/rb)
Bgi = Factor de volumen de gas a la presion inicial del yacimiento  (rb/scf)
Bg = Factor de volumen de gas la presión actual del yacimiento (rb/scf)
Swc = saturación del agua connata (fracción o  %)
Cw = compresibilidad del agua (1/psi)
Cf = compresibilidad de la formación (roca) (1/psi)
Wp = producción de agua acumulada (stb)
We=  producción de influjo de agua acumulada del acuifero (rb)
Bw = Factor de Volumen de agua a la presion inicial del yacimiento  (rb/stb)
Wi = Inyección de agua acumulada (stb)
Gi = Inyección de gas acumulada (scf)
Gp = Producción de gas acumulada (scf)
Eg = Término de expansión de gas (rb/stb)
Eo = Término de expansión de petróleo (rb/stb)
Efw = Término de expansión de la formación y agua connata (rb/stb)

Material Balance for a Water Drive Mechanism

 
 
 

Ecuación de Balance de Materiales para Yacimientos de Gas


Para yacimientos de Gas, el concepto de la ecuación del Balance de Materiales se aplica para determinar el gas en sitio y las reservas estimadas de gas en el yacimiento.

Producción de Gas = Expansion del Gas Libre en el Yacimiento

equation 1 Gp
Asumiendo que:
  • Yacimiento de Gas Seco.
  • No hay presencia de energías externas, como empuje de agua.
Donde
Gp = producción de gas (std cu-ft)
Bg = factor volumétrico del gas de formación (res cu-ft/std cu-ft)
G = gas en sitio (std cu-ft)
Bgi = Factor volumetrico inicial del gas (res cu-ft/std cu-ft)

Para obtener el factor volumétrico del gas de formación (Bg)
equation2 bg
Donde:
Ps = presión a condiciones estándar (14.7 psia)
P = presión a una condición específica, R
z = factor de compresibilidad a una condición específica
T = temperatura a una condición específica, R
T=  temperatura estándar, 520 R (60F)

Con el balor de Bg, la primera ecuación nos queda de la siguiente manera:
equation 3

Si arreglamos la ecuación:
equation 4
Esta ecuación puede ser ploteada usando los valores de P/z vs Gp (Figura 1).
equation 5
Figure 1 - P/z plot

En esta figura se grafica "P/z” y la intercepción con el eje x es el gas en sitio (G).

Nota: El grafico P/z es válido para yacimientos de gas seco.. Si el yacimiento tiene una presión afectada por un acuífero, el gráfico p/z mostrará un gas en sitio sobrestimado (Figura 2).
Figure 2 - Over estimated gas in place

El grafico P/z es una muy buena herramienta, pero si se usa con pocos datos para plotear nos dará un error considerable en la estimación del gas en sitio (G) y las reservas.


References
http://www.drillingformulas.com/material-balance-for-gas-reservoir/
Abhijit Y. Dandekar, 2013. Petroleum Reservoir Rock and Fluid Properties, Second Edition. 2 Edition. CRC Press.
L.P. Dake, 1983. Fundamentals of Reservoir Engineering, Volume 8 (Developments in Petroleum Science). New impression Edition. Elsevier Science.
Tarek Ahmed PhD PE, 2011. Advanced Reservoir Management and Engineering, Second Edition. 2 Edition. Gulf Professional Publishing.
 
 

Método Volumétrico para Estimar Volumen en sitio y Reservas

El método volumétrico permite estimar los fluidos en el yacimiento basado en el volumen del espacio poroso de la roca y el agua de saturación



Volumen de petroleo inicialmente en sitio  (OIIP)
Para estimar el volumen de petróleo inicialmente en sitio  se aplica la siguiente fórmula , la cuál corresponde  a los cálculos volumétricos para el petróleo.

STOIIP
Donde;
STOIIP = tanque de almacenamiento de petróleo en sitio , stb
A= area, acre
h =  espesor del yacimiento, ft
ɸ =  porosidad de la roca, %
Swc = saturación del agua connata, %
Boi = factor volumétrico del petróleo en el yacimiento, rb/stb

Nota: el tanque de almacenamiento se encuentra a condiciones estándar de superficie de petróleo y gas a 60F y 14.7 psia.


Volumen de Gas Inicialmente en Sitio (GIIP)
Abajo se muestra la fórmula para determinar el gas en sitio;
G
Donde;
G = gas en sitio a condiciones estándar, scf
A= area, acre
h = espesor del yacimiento, ft
ɸ = porosidad de la roca , %
Swc =saturación del agua connata , %
Bgi = factor volumétrico del gas en formación, rcf/scf

Nota: Esta es la misma fórmula para el petróleo en sitio pero sólo la constante es diferente porque el volumen del gas se reporta en pies cúbicos cu-ft .



Cálculos de Ejemplo
Yacimientos de petróleo
Area = 10,000 acre
Espesor(H) = 100 ft
Porosidad promedio (ɸ) = 20%
Saturación del agua connata  (Swc) = 25%
Factor volumétrico del petróleo en formación  (Bo) = 1.29 rb/stb
STOIIP example
STOIIP = 902.1 MM STB

 
Reservas
En ingeniería de yacimientos el volumen de los hidrocarburos en un reservorio se llama volumen en sitio. Cuando el volumen de los hidrocarburos puede ser comercialmente recuperable, se conoce como "Reserva". Una reserva debe satisfacer cuatro criterios los cuales son ser descubiertas , recuperables , comerciables y mantenerse según el método de su desarrollo. Cada compañía petrolera  puede cuantificar las reservas basados en diferentes criterios si está interesado en en cómo se clasifican las reservas te recomendamos el siguiente documento de la  Social of Petroleum Engineering (SPE)Petroleum Resources Management System, Society of Petroleum Engineers et al, 2007.
http://www.spe.org/industry/docs/Petroleum_Resources_Management_System_2007.pdf

Traducido desde

Volumetric Method To Estimate Volume In Place and Reserves


References
Abhijit Y. Dandekar, 2013. Petroleum Reservoir Rock and Fluid Properties, Second Edition. 2 Edition. CRC Press.
L.P. Dake, 1983. Fundamentals of Reservoir Engineering, Volume 8 (Developments in Petroleum Science). New impression Edition. Elsevier Science.
Tarek Ahmed PhD PE, 2011. Advanced Reservoir Management and Engineering, Second Edition. 2 Edition. Gulf Professional Publishing.
 
 

Mecánica de las Rocas aplicado al Fracturamiento Hidráulico


En este artículo se tocará el tema de mecánica de roca. No se entrará en detalles ni en desarrollos matemáticos, se verá lo necesario para poder entender el diseño de una fractura. La mecánica de rocas (también llamada reología de rocas), es la ciencia teórica y aplicada del comportamiento mecánico de las rocas. Parte de la teoría es aceptada por todos los especialistas, pero otros fenómenos que actúan dentro de la formación son interpretados de maneras diferentes según los “gurúes”, y por ende en los diferentes simuladores.


1. Definición de Esfuerzo

1.1. Esfuerzo

El esfuerzo es una fuerza ejercida sobre un área, o sobre la superficie de un material. La fuerza puede ser perpendicular o tangencial al área. Si el esfuerzo es perpendicular, o normal, a la superficie será un esfuerzo de compresión y es representado por σ. Si en cambio el esfuerzo es tangencial a la superficie, o paralelo al plano, será un esfuerzo de corte, tendiendo a cortar el material en este plano. Es representado por τ. Los esfuerzos son considerados positivos cuando son compresivos y negativos cuando son tensionales. En la Figura 1, se puede observar los tipos esfuerzos mencionados anteriormente.



1.2. Deformación Específica

Cuando aplicamos un esfuerzo a un cuerpo, inmediatamente ese cuerpo empieza a deformarse en una mayor o menor medida según el material. Esa deformación específica (ε), que en inglés se llama “strain”, es la relación: cambio en la longitud sobre longitud original (ε=ΔL/L). Por definición el término “strain” es adimensional. Para un esfuerzo de presión, la deformación del cuerpo corresponde a un acortamiento longitudinal y a una expansión transversal. Por norma se considera el acortamiento como “strain” positivo y la expansión como “strain” negativo.




1.3. Esfuerzo in situ

En la formación, bajo tierra, cada cubo de roca esta sometido a una serie de esfuerzos. Podemos representar los esfuerzos según 3 ejes, los que van ser un esfuerzo vertical (σv) y dos esfuerzos horizontales de amplitudes diferentes, uno el máximo (σmax) y el otro mínimo (σmin). El esfuerzo vertical representa el peso de las diferentes capas superiores a la capa estudiada. Su valor es normalmente en un rango de 0,98 a 1,1 psi/pie (en ausencia de datos tomar 1,0 psi/pie). Este mismo esfuerzo tienen tendencia a deformar horizontalmente la roca generando esfuerzos horizontales. Pero ¿por qué los esfuerzos horizontales son diferentes según la dirección? Porque la roca esta sometida no solamente a la resultante del esfuerzo vertical pero también a esfuerzos resultantes de movimientos tectónicos del pasado.

Cuando se propaga una fractura, es porque las dos caras de la fractura se separan venciendo el esfuerzo in situ perpendicular a las caras. La naturaleza siempre busca el menor esfuerzo y en consecuencia la fractura va crecer perpendicularmente al esfuerzo mínimo. Por lo tanto siempre existe una dirección preferencial de fractura que en la literatura se encuentra bajo el término de PFP (Preferred Fracture Plan), o plano preferencial de fractura. Normalmente los esfuerzos horizontales son menores que el esfuerzo vertical, y por ende las fracturas crecen generalmente en un plano casi vertical (hay excepciones). En caso de pozos poco profundos, menos de 300 m., el esfuerzo vertical puede ser el menor de los tres y en este caso la fractura puede ser horizontal. A una profundidad intermedia es posible que se generen fracturas inclinadas porque el esfuerzo mínimo no es necesariamente vertical u horizontal. Pero en la mayoría de los yacimientos productivos estamos lo suficientemente profundo y las fracturas son orientadas verticalmente. También la cercanía a una falla puede influir sobre la orientación de las fracturas por su efecto sobre el estado de los esfuerzos.

La intensidad de los esfuerzos tiene otro efecto, que es el control de crecimiento en altura de la fractura. Los esfuerzos in situ son dependientes del tipo de roca, las arcillas tienen esfuerzos horizontales mayores que las arenas. El crecimiento en altura de la fractura va a ser limitado por la presencia de capas con mayores valores de esfuerzos por arriba o por debajo a la capa a fracturar. El ancho de la fractura va a ser también dependiente de los esfuerzos y a mayor esfuerzo hay un menor ancho de fractura. La presión de tratamiento que es la presión que necesitamos para empujar la roca en ambas caras de la fractura va a ser siempre superior al esfuerzo mínimo, y a mayor esfuerzo mínimo, mayor será la presión de fractura. Esto es muy importante para nosotros porque puede implicar limitaciones para el equipamiento a utilizar en superficie. En la Figura 3, se puede observar un esquemático de los esfuerzos presentes en la mecánica de roca.




1.4. Esfuerzo Efectivo

Nos interesa conocer el esfuerzo real que los granos de arena de formación o los granos de agentes de sostén van a soportar. El fluido presente en los poros soporta parte del esfuerzo total, y los granos son sometidos solamente a una parte del esfuerzo ejercido por la roca. Este esfuerzo resultante es lo que llamamos esfuerzo efectivo. La presión del fluido es la presión poral. El proceso de difusión, deformación y la cementación entre los granos afectan la eficiencia de la presión del fluido para soportar la carga aplicada a la formación. Entonces solamente parte de esta presión poral es realmente efectiva y esa reducción de presión es representada por un coeficiente α, llamado coeficiente de poroelasticidad.

Entonces el esfuerzo efectivo sobre los granos (σ’) va a ser el esfuerzo in situ (σ) menos parte de la presión poral. σ’ = σ – αP. El coeficiente de poroelasticidad puede considerarse igual a 0,7 en condiciones normales in situ, y 1,0 dentro del empaque de agente de sostén. De esta relación vemos que si hay cambios en la presión poral, esto implicará cambios en los esfuerzos sobre el agente de sostén. En la Figura 4, se observa un esquemático del esfuerzo efectivo en la formación.



1.5. Esfuerzos según la Formación

El esfuerzo vertical, σv, depende del peso de las capas de rocas superiores, independientemente del tipo de formación. Pero los esfuerzos horizontales son distintos según el tipo de formación. Esta diferencia de esfuerzos depende de sí la formación es más o menos plástica. Si la formación es muy plástica tiene tendencia a deformarse más y podemos imaginar como cada cubo de roca tendrá tendencia a empujar más los cubos de roca vecinos generando así más esfuerzos horizontales. O sea, más deformable es la formación, mayores serán los esfuerzos tangenciales horizontales. Por esta razón, normalmente una arcilla es más plástica que una arena, la intensidad de los esfuerzos es mayor que en la arena. La plasticidad esta representada por la Relación de Poisson (υ), que se encuentra definida como la relación de deformación lateral. En consecuencia, esa relación es una medición de cuanto una roca se deformará horizontalmente cuando es sometida a una deformación vertical. Las formaciones con mayores Relación de Poisson, como las arcillas, tenderán más a deformarse en el plano horizontal que formaciones con relaciones menores, como las areniscas (clásticas). Como bajo tierra las capas no están libres de moverse, se generan esfuerzos horizontales dentro de las rocas. 
 

Una manera rápida de estimar los gradientes de cierre de fractura es utilizando la siguiente fórmula:


Donde:
A = 0,4 para arenisca limpia (gamma ray = 40)
A = 0,5 para arcilla (gamma ray = 100)
σv = 1 psi/pie
B = 0,5
Pe = 0,43 psi/pie en un reservorio normalmente presurizado
C = efecto tectónico, generalmente 0, máximo 0,1 psi/pie

1.6. Concentración de esfuerzos en la vecindad del pozo

En las secciones anteriores se ha hablado de los esfuerzos en la formación a una cierta distancia del pozo en una zona no disturbada. Pero cuando se construye el pozo y se lo perfora, se modifican los esfuerzos en la vecindad de las paredes del pozo, o sea se modifica las condiciones de equilibrio en esta zona. Desde el pozo hasta una distancia de uno o dos veces el diámetro del pozo se genera nuevas condiciones de equilibrio. Estas condiciones, en la zona de mayores esfuerzos que es la pared del pozo, son representadas por la ecuación de la Figura 6. Vemos entonces que en esta zona hay una concentración de esfuerzos que pueden afectar el inicio de la fractura. La zona de concentración es menos de dos veces el diámetro del pozo, o sea por un pozo perforado con 9” tendremos condiciones normales a una distancia inferior a los 18”.
 

Portal del Petróleo

Oil & Gas Magazine